Broeikasmodel
De aarde ontvangt straling van de zon maar zendt zelf ook straling uit. Het effect op de oppervlaktetemperatuur van de aarde wordt met een simpel model berekend.5,6 De instraling van de zon bedraagt S≃1368W/m2.
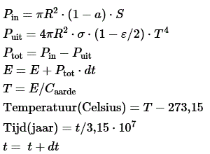
Het frontaal oppervlak van de aarde beschenen door de zon wordt gesteld op πR2, met R
de straal van de aarde. Het totale ingestraald vermogen is als weergegeven in de formule voor Pin. Daarin is a≃0,37 de zogenaamde 'albedo factor' die een maat is voor de hoeveelheid straling die door de aarde wordt gereflecteerd.
De aarde zendt straling uit met een vermogen Puit dat afhangt van de oppervlaktetemperatuur T volgens de 'wet van Stefan-Boltzmann'. De 'emissiviteitsfactor' ε ≃ 0,95 brengt in rekening dat een deel van de uitstraling wordt tegengehouden in de atmosfeer.7
Formules uit Binas:

Differentievergelijkingen:

Voor Pin=Puit zijn in- en uitstraling in evenwicht. Een netto in- of uitstraling veroorzaakt een temperatuurverandering afhankelijk van Caarde, de gemiddelde warmtecapaciteit per vierkante meter aarde. Deze grootheid is in het voorbeeld gelijk gekozen aan die van de atmosfeer.
Modelregels

Download coachbestand met tekstuele model (cma7, 861 kB)
Grafisch model

Download coachbestand met grafisch model (cma7, 810 kB)
Voorbeeld
Startwaarden (SI)


5. Natuurkunde.nl, Het klimaat, zelf berekend
6. Koos Kortland, Elwin Savelsbergh, Kees Hooyman, Robert Wielinga, Broeikas Aarde, NVOX(2003)
7. Koos Kortland, Broeikas Aarde: een leefbare temperatuur, in: Handboek Natuurkundedidactiek, Epsilon Uitgaven (2017)